2023-01-08 17:54:54 来源:富途证券
作者:Fisher的信徒
来源:富途牛牛社区
在之前的文章中,我陆续介绍过自由现金流及其用处,实际上自由现金流的好处还远不止之前说到的这些,本文再介绍自由现金流一个很重要的用处——自由现金流折现法。
对于广大投资者而言,评估一家公司的股权的价值几何始终都是一个很难却又相当重要的事情,在经过很多人的研究和时间的检验后,人们将对股权价值的评估模型分为三种:现金流模型、乘数模型和资产估值模型。今天我们先探讨一下现金流模型。
现金流模型通常被用于估算证券的内在价值,是由巴菲特的导师格雷厄姆创建的,也是巴菲特最喜欢用的一种模型,其基本方式有两种,一种是根据按预期分配给股东的股利的方式来计算证券的内在价值,这种方法叫股利折现法,另一种是根据预期分配给股东的自由现金流的方式来计算证券的内在价值,这种方法叫自由现金流折现法。然而不管是哪种方式,它们都是基于对未来的现金流的预测,既然是未来的现金流,那么它就必然包含时间价值和风险溢价。
那么什么是时间价值?什么是风险溢价?所谓的时间价值,通俗一点讲就是因为时间所造成的价值的变动,打个比方,现实生活中通货膨胀总是存在的,现在手里的100万元在3年后必然会贬值,3年后的100万元放在现在也就相当于90几万元。再打个比方,投资国债几乎是无风险的,那么拿100万购买3年期的国债,3年后这100万变成了105万,这种无风险的增值可以完全看做是时间带来的价值。
所谓的风险溢价就是未来的风险所造成的价值的变动,比如现在手里有100万元,但是由于时局不稳,比如像津巴布韦币由于本国内部问题导致这100万元在3年后变得一文不值,再比如由于天气风险的因素,今年收获了100万吨大豆,三年后由于飓风或者干旱导致大豆减产,当年只收获了10万吨大豆,对于一家公司而言,由于经营上也存在风险,今年净利润是100万元,三年后可能会亏损,从而导致未来价值的减少。
由于时间和风险是必然存在的,因此无论如何将未来的现金流折算到现在都必须要打一个折扣,所以叫现金流折现法,所打的这个「折扣」就是折现率,也叫必要收益率,其计算公式为:折现率=无风险收益率 风险收益率,而风险收益率=风险价值系数X标准离差率,因此这个公式可以变为:折现率=无风险利率 风险价值系数x标准离差率,至于无风险利率,业界一般采用巴菲特的方法,即无风险利率=长期国债收益率,而至于风险收益率,没有定论,一般根据一家公司未来可能面临的经营风险来估算,比如处于行业成熟期,拥有稳定护城河的公司,其未来面临的经营风险小,产生的现金流比较稳定,与预测的现金流相差不大,那么其风险利率就会很小,如果该公司未来面临的经营风险大,产生的现金流不稳定,与预测的现金流相差大,那么其风险利率就会很大。限于篇幅有限,本文不重点讨论风险利率的估算,只对风险利率做一个简单的介绍,初学的投资者只需要知道任何一支股票的风险利率都是由该公司未来所面临的经营风险决定的就行了,不同的公司在未来所面临的经营风险是不一样的,因此其风险利率也是不一样的,具体情况需要具体分析。
那么如何计算未来现金流的折现了?先举个简单的例子,比如现在你花100万元购买了1年期利率为5%的国债,那么1年后这100万元变成了105万元,具体计算公式为:
105万=100万X(1 5%)
那么如果将这1年后的105万折回到现在,就变成了100万,具体计算公式为:
100万=105万/(1 5%)
同理,如果将1年后的100万折算到现在了?其计算方法依然不变,为:
100万/(1 5%)=95.24万
如果1年到期后,你将这105万又拿去购买了这个1年期利率为5%的国债,那么两年后这105万变成了100万X(1 5%)X(1 5%)=110.25万,那么将两年后的110.25万折算回现在,过程如下:现将110.25万折算回一年前的105万,计算方法:110.25万/(1 5%)=105万,再将一年前的105万折算回现在,计算方法:105万/(1 5%)=100万,总结一下就是将2年后的110.25万折算回现在的计算方法为:
那么假设你买了一只股票,假设股利都是在年末发放,预计第一年的股利为3美元,第二年的股利为3.2美元,第三年的股利为3.3美元,第四年的股利为3.5美元,第五年的股利为3.6美元,折现率为10%,那么未来五年的股利折现到现在的价值为:
假设5年后分完股利就将该股票卖掉,预计卖出的价格是450美元,那么将该股价折现到现在的价值为:
那么该股的内在价值为:279.41 12.48=291.89美元;这是我们估算的内在价值,不一定精确,因此我们在买入该股票时需要有一个足够的安全边际来容纳我们估算的偏差,也就是巴菲特常说的折扣价,比如以我们估算的内在价值的7折的价格买入该股,那么买入价格为:291.89X70%=204.3美元;如果该股的现价低于我们设置的这个安全价格,那么我们可以考虑买入该股。
接下来我们总结一下股利折现法的计算公式:
其中V0是股票的内在价值,Pt为t个投资周期后的股价,Dt为第t个投资周期派发的股利,r为折现率。
以中国农业银行$农业银行(01288.HK)$为例,首先我以中国十年期国债收益率3.25%为无风险利率,给予其未来的风险利率为4.75%,那么折现率r=8%,中国农业银行在2018年派发的股利为0.2港币,我预计2019年股利为0.21港币(假设所有股利都在年底派发),2020年为0.22港币,2021年为0.22港币……2028年股利为0.30港币,那么10年股利折现到当前的股票内在价值为1.67港币,预计十年后的股价为5.25港币,那么该股价折现到现在的价值为:2.43港币,因此预估的中国农业银行股票内在价值为:1.67 2.43=4.10港币,具体计算数据如下表:
那么如果我们设置20%的安全边际,即以8折的价格买入该股,则买入价为:4.1X80%=3.28港币,如果我们认为这样的价格还不够安全,则可以设置更高的安全边际来买入该股。
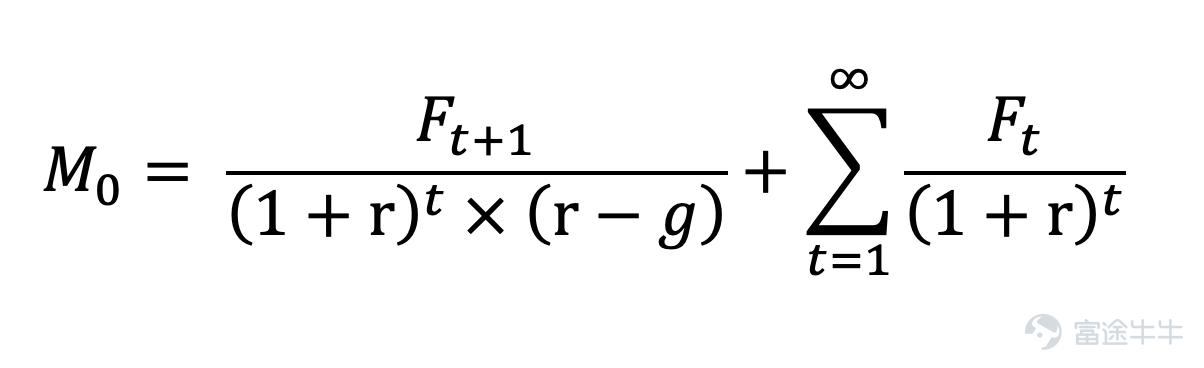
以上是股利折现法的介绍和案例分享,自由现金流折现法的原理跟股利折现法相同,是以预测未来产生的自由现金流折现来计算其股权的内在价值的,只不过t个投资周期后的股价变成了永续年金,也就是在t 1的投资周期中产生的自由现金流变成了企业在今后发展中产生的永久的自由现金流之和,该永续年金的计算方式是:
其中Ft是第t个投资周期产生的自由现金流,Ft 1是t 1个投资周期产生的自由现金流,r是折现率,g是t 1的投资周期后的增长速度,该永续年金的折现方式跟第t个投资周期的自由现金流的折现方式一样,因此企业内在价值的最终计算公司如下所示:
在此,我将《巴菲特之道》中第四章中的用股东盈余(自由现金流)计算可口可乐公司的内在价值的计算过程贴出来:
以上这张表格,根据作者提供的数据:1988年可口可乐的自由现金流为8.28亿美元,下一个十年里的年增速保持在15%,第11年增速降到5%,折现率为9%,计算结果与作者的答案483.77亿美元相吻合,只不过由于Excel表格小数位数精度不一样,导致小数部分略有偏差。以下两张表格是作者将下一个十年的增速预估下调到12%和10%后的计算过程(其它假设数据不变):
(下一个十年增速为12%的计算过程和结果)
(下一个十年增速为10%的计算过程和结果)
最后再次强调一下,现金流折现法这个模型理解起来很简单,计算起来也不复杂,但是有很大的局限性,主要问题出在r折现率上面,也就是本文开头所说的,有兴趣的投资者可以用现金流模型分析一下不同行业的公司的内在价值,比如社交网络公司:
Facebook$Facebook(FB.US)$、腾讯$腾讯控股(00700.HK)$、电商公司亚马逊$亚马逊(AMZN.US)$、阿里巴巴$阿里巴巴(BABA.US)$,智能手机制造公司苹果$苹果(AAPL.US)$、小米$小米集团-W(01810.HK)$,也可以研究下科技行业的常青树公司:Intel$英特尔(INTC.US)$、AMD$美国超微公司(AMD.US)$、微软$微软(MSFT.US)$、谷歌$谷歌(GOOG.US)$等以及可口可乐$可口可乐(KO.US)$、百事可乐$百事可乐(PEP.US)$、宝洁$宝洁(PG.US)$、星巴克$星巴克(SBUX.US)$等传统公司的内在价值。
通过对这些公司内在价值的研究,我们大致可以总结出如何正确估算这类公司的风险溢价,比如行业周期性公司的风险溢价(风险利率)高,护城河稳固,能稳定输出现金流的公司,其风险溢价就低,还有处于不同生命周期的公司,其风险溢价也有很大不同,比如特斯拉$特斯拉(TSLA.US)$相对于法拉利$法拉利(RACE.US)$,奈飞$奈飞(NFLX.US)$相对于迪士尼$迪士尼(DIS.US)$。
富途安逸
打通上市前后全流程,赋能新经济企业升级
以上内容仅代表作者的个人观点,不代表富途的任何立场。在本文中出现的任何信息包括但不限于评论、预测、图表、指标、理论、直接的或暗示的指示均只作为参考,您须对任何自主决定的行为负责。富途力求但不保证本文所引用的数据或资料的完全准确,且富途并不会就本文所载明的任何资料、预测及/或意见的公平性、准确性、时限性、完整性或正确性,以及任何该等预测及/或意见所依据的基准作出任何明文或暗示的保证、陈述、担保或承诺,富途不对因本文全部或部分内容产生的或因依赖该资料而引致的任何损失承担任何责任。本文所载资料受版权保护,未经富途事前以书面同意,不可将本文的任何部分修改、翻版、储存于检索系统、传送、复制、分发或以任何其它方式作商业用途。
免责声明:本网站所有信息仅供参考,不做交易和服务的根据,如自行使用本网资料发生偏差,本站概不负责,亦不负任何法律责任。如有侵权行为,请第一时间联系我们修改或删除,多谢。
 
			© 2018 今日中国财经 版权所有