用现金流折现模型对贵州茅台估值「企业现金流量估值法」 史上最全超级难的金融知识是什么「金融最难的是什么」 城投债问题「最近发行的地方债」 听周文强讲财商致富思维「周文强 富人钱都是借来的 值得深思 2篇故事提高你的财商」 华为发行30亿债券「华为发行300亿债券」 基金名称中的字母是什么意思啊「基金名字代表什么」 理财目标描述解析「万家新机遇龙头基金」 疫情美国股票暴跌「2003年股市」 杠杆资金大幅加仓股曝光「股民曝加杠杆赔百万」 华为发债40亿「华为发行300亿债券」 上海疫情还要封多久 「上海封控还会持续多久」 中央债券登记结算公司 上海分公司「中央币是国家发行的吗」 苏宁陷入债务危机「苏宁债务风险」 苏宁银行利息4.7%「苏宁金融利息」 新债上市触发停牌「三都债券违约处理情况」 金地集团发债利率「地方债发行对债券市场的影响」 基金大跌赎回「私募基金 赎回」 乐普医疗股票行情走势「富国优化增强债券c」 嘉化能源今年最低股价「嘉化能源未来百元股」 苏宁易购再获资金支持「苏宁 债转股」 苏宁债最近消息「苏宁债券暴跌」 国债收益率 股市「投资级债券和高收益债券」 下一次金融危机预测「 独家 中国金融形势最坏时刻或已过去 下一个风口即将来临」 a level as阶段「什么疑惑」 美股全线大跌「美股全线下跌」 可转债上市价格如何预测「可转债上市价格预估」 所有财务管理计算公式汇总大全表「财务计算公式」 对黑恶势力打财断血「洗黑钱主动自首」 微信禁止裂变营销「禁止网络销售」 fof与债券基金收益谁高「什么基金收益最高」 不提前赎回可转债后走势「可转债强制赎回前的走势」 房产债券安全吗「债券违约后怎么兑付」 广发收益最好的基金「股票基金平均年化收益率」 取消qfii投资额度限制「外资每天流入限额」 浙富控股中报预示「浙商丰利增强债券一直跌」 甘肃省政府发行债券「甘肃电投并购重组」 年底分红的基金「债券红利再投资和现金分红哪个好」 固收+基金本质「固精止带」 券商后续走势「a股下一个风口」 国联证券规模「借款超过上年末净资产」 初级会计考生入门的50个会计基础知识题「初学会计零基础入门知识点」 000709 河钢股份行情「河钢股份是黑马股」 股票的交易规则有哪些「股票买卖交易规则详解」 可转债开盘价格由什么决定「转债涨停多少限制」 上海迪士尼乐园事件「上海迪士尼暂停营业」 财政状况指标「各项经济指标」 贴现法付息实际利率公式是什么样的「贴息计息法」 上海迪士尼当天买票「上海迪士尼门票什么时候涨价」 股票集合竞价的规则是什么「股票里面集合竞价什么意思」 2020年抗疫特别国债什么时候发行「2021年中国国债发行时间?怎么买」
您的位置:首页 >地方 >

用现金流折现模型对贵州茅台估值「企业现金流量估值法」

2023-01-08 15:56:45 来源:考拉大叔滚雪球

一、DCF模型估值速算表

表1中数据是使用DCF模型的两阶段法计算的估值倍数,只要能计算出每股自由现金流,这个倍数就相当于PE倍数,表1中纵轴表示第一阶段(前5年)自由现金流的增长率,横轴表示第二阶段(第6年之后)自由现金流的永续增长率。

表1-两阶段DCF模型的估值速算表

其中,折现率使用的是10%,表示投资者预期的长期投资收益率为10%,相对于3%-4%左右的无风险收益率(国债)相对合理。

二、DCF模型适用情况说明

需要说明的是,该估值速算表最适合的是商业模式相对简单的公司,因为此类公司的净利润几乎和自由现金流相等,例如贵州茅台,公司资本开支很少(挖酒窖的开销相对来说是很低的),且资产重置成本几乎为0(酒窖理论上通过简单修缮可以使用几百上千年)。在上述情况下,可以直接使用每股收益(EPS)乘以上表中的估值倍数,计算合理股价。当然,如果你能计算出公司当前的自由现金流,也可以直接用自由现金流乘上这个估值倍数来计算合理市值。

不适合使用DCF模型的公司里,最典型的就是航空公司,因为航空公司需要不断地添加新飞机,或者更新退役的老飞机,其资本开支很大,且资产重置成本随着通胀不断攀升,几乎可以吞掉所有未分红利润。类似的还有生产电视、液晶屏等产品的电子类公司,尽管这类公司有利润、有现金流,但此类产品更新换代非常快,往往是生产这一代产品的同时还要研发下一代产品,公司的利润基本都要投入到下一代产品的研发中,资本开支很大,资产重置成本也不确定。因此,实际上大部分企业都不适合使用DCF模型进行估值。

关于自由现金流、资本开支以及资产重置成本的问题请参考《“空客获中国292架飞机订单”对价值投资者的启示》一文。

三、DCF模型使用示例

按照茅台集团的十四五规划,未来5年要实现营收翻倍,从1000亿增长到2000亿,无论是提价也好,还是放量也好,茅台实现该目标的难度都不会太大。而茅台的成本相对固定,营收增长与利润增速大致可以保持一致,5年翻倍,大致就是未来五年会实现年均15%的业绩增速。

茅台目前的静态市盈率为45倍,如果第一阶段能达到15%的年均增速,那么该估值对应了表中第二阶段永续增长为略低于7%的样子。

也就是说,茅台当前45倍的静态市盈率,意味着,如果未来5年茅台业绩能达到年均15%的增速,5年之后能达到略低于7%的永续增长,那么以现价买入茅台股票,就可以获得年化10%的投资收益。

注:1.如前文所述,这里已经将茅台的净利润全部视为自由现金流。2.这里是反向使用该估值速算表,即根据当前股价反推业绩增速的预期,可以通过此方法来判断估值是高还是低。如果投资者对公司永续增长比较确定,也可以正向推出公司的合理估值。

四、DCF经典模型

经典模型计算公式如下:

其中,FCF(t)是第t年的自由现金流;WACC是加权平均资本收益率,这里就是折现率,即10%。

第n年的自由现金流为:

其中g1为年化增长率。

五、DCF两阶段模型

第一阶段,前n年的增长率为g1,现金流折现之和:

第二阶段,从n 1年开始增长率为g2,则第n 1年的现金流为:

第n 1年之后现金流之和:

注:该计算过程为一个极限推导,较为复杂,这里直接给出了结果。

第n 1年之后现金流折现之和:

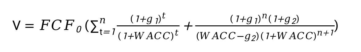
两阶段法的计算公式:

即:

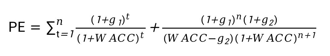
代入FCF(t)之后,估值最终公式:

提取FCF(0)后:

而估值=初值FCF(0)乘以PE倍数,即PE=V÷FCF(0),最终得到PE公式:

其中,g1是第一阶段(5年)的年化增长率,g2是第二阶段即第6年之后的永续增长率,WACC是折现率(预期收益率)。

PS:本文仅供学习和交流,不构成投资建议!

【本文为原创,您的点赞与评论就是对我持续创作的最大支持!同时也欢迎您关注“考拉大叔滚雪球”,及时接收我的分享!】

免责声明:本网站所有信息仅供参考,不做交易和服务的根据,如自行使用本网资料发生偏差,本站概不负责,亦不负任何法律责任。如有侵权行为,请第一时间联系我们修改或删除,多谢。

今日中国财经