企业价值评估 收益法 股权资本成本公式「权益法核算的长期股权投资初始成本」 什么是城投债「官利债表文」 债券基金怎样买「债券基金在哪里买好」 扩张性财政政策对政府债务「政府债务化解途径」 可转债的指标「如何分析可转债」 美国十年期国债利率倒挂是什么意思「国债收益率倒挂什么意思」 现在是买债券基金的好时机吗「如何配置债券」 温和型投资者「被动型基金比主动型基金更具抗跌性」 资产配置指南「个人家庭资产配置方案」 近期债券市场「我国债券市场的发展」 逆回购怎么理解「逆全球化原因和实质」 中证协修订发布公司债券受托管理三项自律规则的通知「证券自律管理机构」 选择债券基金要注意什么问题「投资」 宽松的流动性条件为何会造成债券套利交易激增的影响「流动性增加」 外债是怎么产生的「企业外债」 特朗普股价「特朗普发推:宣布一个“好消息”」 美国加息对美债的影响「加息痛苦开始显现 美国垃圾债违约规模创两年新高」 浅析使用短期国债工具的背景与影响研究「短期国债市场」 债券投资者押注经济衰退 长期美债更受青睐吗「美元债投资实战」 浑水为什么不做空a股「港股做空机制」 上银转债能赚多少钱「平银转债」 公募基金买入手续费「基金申购费率怎么算1.5%」 重银申购中签收益大概多少「重银转债价值分析 重银转债值得申购吗 中签后能赚多少钱」 为什么纯债基金也亏钱「纯债基金为什么会亏钱」 债券基金的投资技巧「债券基金买入卖出技巧」 凤21转债中签「118002天合转债上市第一天怎么样」 打新债如何赚钱「打新债赚钱」 专项债营销经验「国家专项债」 中签结果公布「中标喜讯」 2020年第六批省政府债券成功发行了吗「债券承销」 初级会计难题解析「重难点」 财政部向商业银行出售政府债券「一般债券入财政部」 冠城大通回购股票「公司债券持有人对公司享有」 用好专项债「钱花在刀刃上」 可转债有必要买吗「可转债要不要买」 债券基金涨跌与哪些因素有关「债券基金的涨跌由什么决定」 何为债券基金「基金里面的债券是什么意思」 短期投资理财是年金型产品「中银集富理财产品其风险特征为」 信用债 破局之道是什么「举借新债」 股市大跌对纯债基金有影响吗「债券大跌」 如何投资债券市场「债券投资思路」 债券价格被高估「债基一直跌怎么办」 基金清盘的概率有多大「基金清盘是不是赔惨了」 债务融资工具之常用品种 中期票据有哪些「融资性票据」 我们怎么参与城投债获取收益呢「债券基金周末有收益吗」 西安:升级空天一体“双引擎” 奋进“世界一流”新征程 熊猫公司债试点「熊猫债券是外国债券吗」 债券基金下跌时怎么办「债券基金跌了」 可转债溢价率是负数转股票是不是稳挣「可转债学习 | 可转债如何转股 溢价率越低 转股的收益就越高」 主动基金如何挑选「怎么挑选合适的基金」
您的位置:首页 >热点 >

企业价值评估 收益法 股权资本成本公式「权益法核算的长期股权投资初始成本」

2023-01-31 10:02:59 来源:胖纸说Alita

测算股权资本成本的常用方法有资本资产定价模型、套利定价模型、三因素模型和风险累加法。

1.资本资产定价模型(CAPM)

(1)资本资产定价模型的计算公式

R=Rf β*(Rm-R) Rs

式中,R.为股权资本成本;Rf为无风险报酬率;β为企业风险系数,指相对于市场收益率的敏感度;Rm为市场的预期报酬率; Rm-Rf为市场风险溢价;Rs为企业特有风险调整系数。

1)无风险报酬率(Rf)

无风险报酬率是投资无风险资产所获得的投资回报率,表示即使在风险为零时,投资者仍期望就资本的时间价值获得的补偿。无风险(或风险为零)必须具备两个条件:一是没有违约风险或违约风险可以忽略,投资者可以毫无损失地获得投资本金和投资收益;二是没有投资和再投资风险,能够在特定时间内按预期完成投资或再投资。

在企业价值评估中,国际上通行的做法是参考不存在违约风险的政府债券利率确定通常不宜选择短期债券利率作为无风险报酬率,理想的做法是对应每一个现金流量使用一个到期日与之相同的政府债券利率。国际上,企业价值评估中最常选用的为10年期政府债券利率。不同年份发行的、票面利率和计息期不等的上市债券,根据当前市价和未来现金流量计算的到期收益率只有很小的差别。各种长期政府债券的到期收益率与票面利率会有很大区别。通常不适宜选用票面利率作为无风险报酬率,而是选取与企业收益期相匹配的中长期国债的市场到期收益率;应当选择上市交易的政府长期债券的到期收益率作为无风险报酬率的代表。

在我国企业价值的评估实务中,通常收益期在10年以上的企业选用距评估基准日10年的长期国债到期收益率,收益期在10年以下的企业选用距评估基准日对应年限的长期国债到期收益率。

2)β系数

资本市场理论把风险分为系统风险和非系统风险。系统风险由综合因素导致,个别企业或投资者无法通过多样化投资予以分散。非系统风险由单个的特殊因素所引起,这些特殊因素的发生是随机的,因此可以通过多样化投资来分散。

β系数是衡量一种证券或一个投资组合相对于总体市场的波动性的一种风险评价工具,是衡量系统风险的指标。一般来说,一个公司β系数的大小取决于该公司的业务类型、经营杠杆和财务杠杆等因素。

在其他因素相同的情况下,周期性公司的β系数高于非周期性公司,经营杠杆较高的公司的β系数高于经营杠杆较低的公司,财务杠杆较高的公司的β系数也高于财务杠杆较低的公司。

股票的β系数计算公式为:

式中,为一定时期内股票i的收益率和市场收益率的协方差;为一定时期内市场收益率的方差。

采用上述回归分析方法计算β系数,影响β系数的因素主要有三个:一是反映股票市场整体价格水平的指数种类的选择,选择的市场指数应该具有充分的代表性,以保证反映整个市场的价格动向。二是观察间隔期的选择,一般采用周或者月度的数据。三是样本期间长度的选择。一般情况下,公司风险特征无重大变化时,可以采用5年或更长的样本期间长度;如果公司风险特征发生重大变化,应当使用变化后的年份作为样本期间长度。

评估实务中,对非上市公司进行评估时,一般是通过在公开交易市场中选择与被评估企业类似的公司作为可比公司,用可比公司的β系数并经一定的调整后间接地得出非上市公司的β系数。主要步骤是:

首先,估算可比上市公司的原始β系数。采用回归分析法计算可比公司的β系数,也可以通过一些专业财经资讯平台、证券投资机构、投资咨询机构所发布的数据产品中查询可比公司的β系数。

其次,对可比上市公司的原始B系数进行必要的调整,得出可比上市公司调整后β系数。

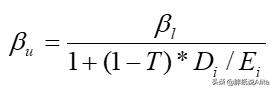
再次,将可比上市公司调整后β系数去财务杠杆,得出可比上市公司调整后无财务杠杆β系数。调整公式如下:

式中,为可比上市公司调整后无财务杠杆β系数;为可比上市公司调整后有财务杠杆β系数;T为企业所得税税率;为可比公司的付息债务;为可比公司的权益资本。

最后,根据可比上市公司调整后无杠杆 B系数和被评估企业的资本结构,计算得出被评估企业的有财务杠杆β系数。

计算公式如下:

式中,为被评估企业有财务杠杆β系数;为被评估企业的付息债务;为被评估企业的权益资本。

被评估企业的资本结构通常不宜直接采用被评估企业的历史或评估基准日的资本结构,而应选择目标资本结构。最终确定的资本结构应是能反映企业整个收益期内的综合预期水平。

3)市场风险溢价

市场风险溢价也称为股权超额风险回报率,是对于一个充分风险分散的市场投资组合,投资者所要求的高于无风险报酬率的回报率。目前国际上的估算方法主要有三类:

①面向未来的方法(贴现现金流量法),是根据已知估值结果反向推算市场风险溢价的方法,但不同的预测方法往往会产生很大的差异。

②基于当前的方法(回归分析),基于当前的测算方法通常是把当前的市场变量(如股息额-股价比)彼此联系起来进行回归分析,以预测市场风险溢价。

③基于历史的方法(收益变现法)。是运用历史收益来估计未来收益,运用投资者在一些持有期已经实现的平均收益溢价来计算。

在实务中,基于历史的收益变现法运用较为普遍,应注意一下两个问题:一是时间跨度的选择,应选择较长的时间跨度。二是权益市场平均收益率是选择算术平均数还是几何平均数,多数人倾向于采用几何平均法。一般情况下,几何平均法得出的预期风险溢价比算术平均法要低一些。

4)企业特定风险调整系数

企业特定风险调整系数是衡量被评估企业与可比上市公司风险差异的一个指标。不同企业之间β系数的差异,不仅受财务杠杆差异的影响,而且也会受到不同企业在业务类型、企业发展阶段、行业竞争地位、经营杠杆等其他因素方面存在差异的影响,所以要进行特定风险的调整。

与可比上市公司相比,被评估企业的特定风险因素主要包括企业规模、企业所处经营阶段、主要产品所处的发展阶段、企业经营业务或产品的种类及区域分布、企业历史经营状况、企业内部管理和控制机制、管理人员的经验与资历、对主要客户及供应商的依赖等。

(2)资本资产定价模型的适用性

资本资产定价模型通过β系数的引入,能够衡量企业的超额收益对于市场超额收益的敏感程度,较好地解释了企业风险与其未来收益之间的关系。但资本资产定价模型的基本假设主要包括市场的信息是完全充分的和对称的、金融市场是完全有效的、理性预期成立、投资者属于风险厌恶等内容,这些基本假设在整体市场、特定企业中难以完全满足,使得资本资产定价模型受到一定的挑战。

当企业所属经济环境内的资本市场数据充分,且可找到与目标企业可比的上市公司数据时,可选用资本资产定价模型测算股权资本成本。

2.套利定价模型

(1)套利定价模型的计算原理

该模型以收益率形成过程的多因子模型为基础,认为证券收益率与一组因子线性相关,这组因子代表资产收益率的一些基本因素,且假设均衡中的资产收益取决于多个不司的外生因素。套利定价模型拓展了更多影响风险资产收益的因素,并根据无套利原则,得到风险资产均衡收益与多个因素之间存在线性关系的结论。建立套利定价模型的关键在于影响风险资产收益因素的筛选。

(2)套利定价模型的适用性

在某种意义上,套利定价模型是资本资产定价模型(单变量)的多变量扩展形式,或者说资本资产定价模型可看成是套利定价模型的特例。但是,套利定价模型在实务中尚未被广泛采用,其原因主要有:①套利定价模型虽然指出了通过多种因素判断系统风险的思路,但并没有归纳出具体的变量或因素,也没有指出哪些变量或因素是最有效的;②套利定价模型的运用过程较为复杂,因为不同因素的β系数比单因素的β系数更难确定。

3.三因素模型

三因素模型认为,一个投资组合(包括单个股票)的超额回报率按照以下三个因素进行回归计算得出:市场的超额回报率、期望的规模风险溢价、期望的价值风险溢价。

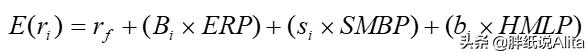
三因素模型的计算公式

上式中,为目标证券i的预期报酬率;为无风险报酬率;为公司i的β系数,并不等同于资本资产定价模型中的β系数;ERP为市场风险溢价;

为股票的预期报酬率对于公司大小的敏感程度;SMBP为期望的规模风险溢价,用小规模股票市值组合与大规模股票市值组合的历史年回报率的差额进行估计;为股票的预期报酬率对于账面价值市值比的敏感程度;HMLP为期望的价值风险溢价,用高账面价值市值比相对于低账面价值市值比的超额回报率。

(2)三因素模型的适用性

相比于套利定价模型在变量选择方面的随意性和主观性,三因素模型实证性检验了许多因素之后才发现能够解释目标证券期望回报率的三个因素。明确指出了公司收益率的决定因素,运用历史数据,根据目标公司的收益率以及市场收益率、规模因素模拟组合收益率、账面价值市值比因素模拟组合收益率,就可以回归求出相应的β系数。

4.风险累加法

(1)风险累加法的计算公式

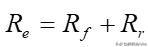
风险累加法求取股权资本成本的思路是股权资本成本等于无风险报酬率加上各种风险报酬率。其计算公式为:

上式中,为股权资本成本;为无风险报酬率;为风险报酬率。

或者风险报酬率=行业风险报酬率 经营风险报酬率 财务风险报酬率 其他风险报酬率

行业风险主要指企业所在行业的市场特点、投资开发特点,以及国家产业政策调整等因素造成的行业发展不确定性给企业未来收益带来的影响。

经营风险是指企业在经营过程中,由于市场需求变化、生产要素供给条件变化以及同类企业间的竞争给企业的未来收益带来的不确定性影响。

财务风险是指企业在经营过程中的资金融通、资金调度、资金周转可能出现的影响企业未来收益的不确定性因素。

其他风险是指除行业风险、经营风险、财务风险以外的企业其他个别风险。运用风险累加法估算股权资本成本,关键在于企业所面临的各种风险报酬率的确定。

(2)风险累加法的适用性

风险累加法比较直观地反映了资本成本的组成内容。由于各项风险报酬率的量化主要依赖经验判断,粗略性和主观性明显。只有在评估专业人员充分了解和掌握国民经济的运行态势、行业发展方向、市场状况、同类企业竞争情况以及被评估企业的特征的基础上,进行判断才可能较为合理。

免责声明:本网站所有信息仅供参考,不做交易和服务的根据,如自行使用本网资料发生偏差,本站概不负责,亦不负任何法律责任。如有侵权行为,请第一时间联系我们修改或删除,多谢。

今日中国财经